Pune
08048034621
+919322287227

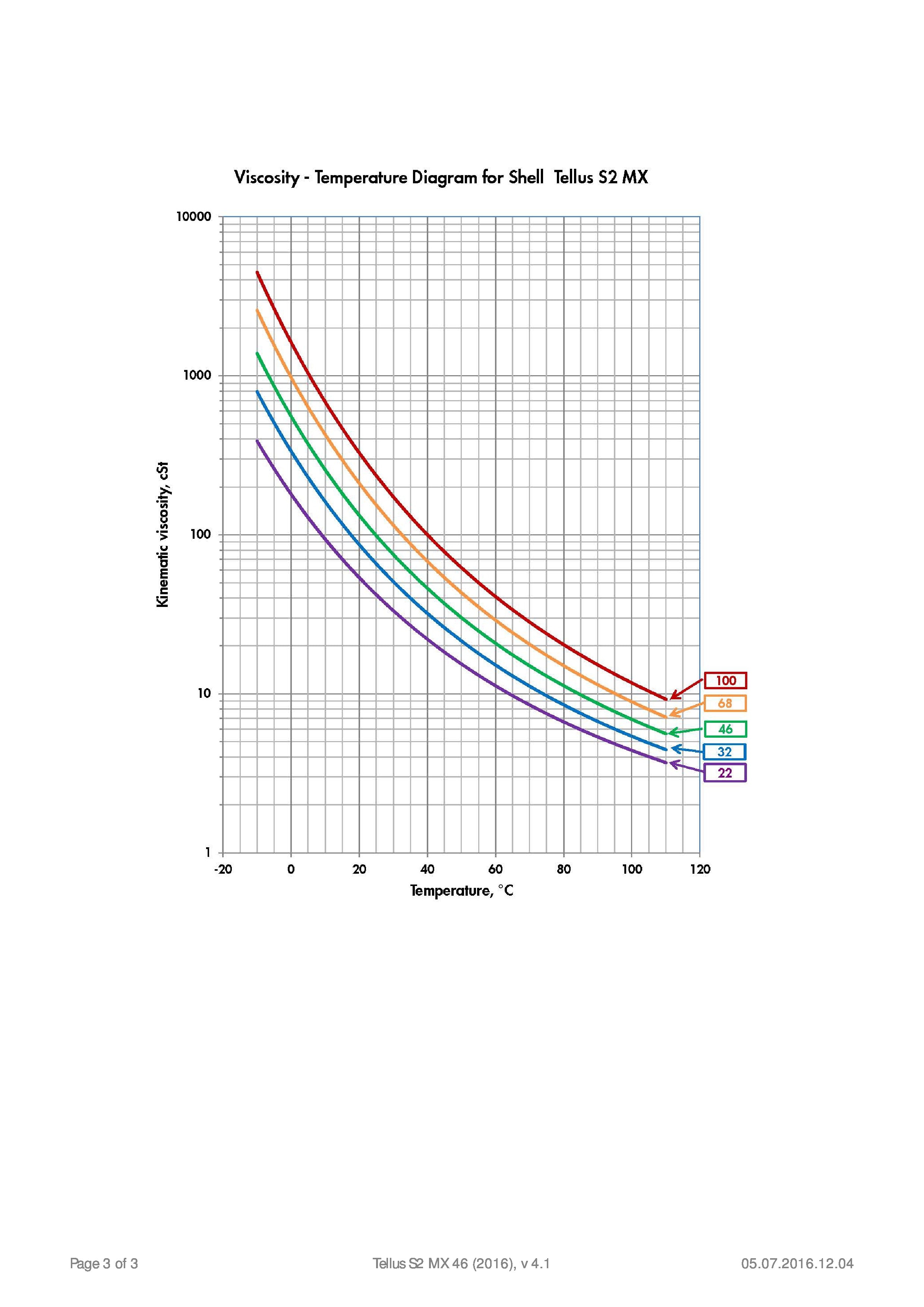
Shell Tellus S2 MX 46 - Hydraulic Oil

 2026-04-27T12:23:54

Other Pages

View all pages